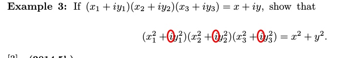
লাল দিয়ে গোল করা $i$-গুলো থাকবে না৷ ভুলটা ধরেছে আদিত্য ঘোষ৷
এখানে equality-র শর্তটা ভুল দিয়ে ফেলেছি৷ শর্তটা হবে all the $z_i$'s have a common argument,
অর্থাৎ শুধু যে তারা সকলেই কোনো origin-গামী একই লাইনে থাকবে তাই নয়, তারা আবার origin-এর একই
পাশে থাকবে৷ নীচের ছবিটা দেখে নাও৷
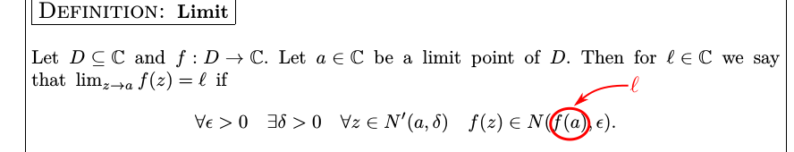
লাল দিয়ে ঘেরা $f(a)$-টা হবে $\ell.$ ভুলটা ধরেছে দেবজ্যোতি দাস৷
লাল দিয়ে ঘেরা অংশটা হবে $aw+b = -\frac{ac}{d}+b = -\frac{ac-bd}{c}.$ ভুলটা ধরেছে প্রণয় মণ্ডল৷
লাল রঙে যেমন দেখিয়েছি, একটা $z'(t)$ ঢুকবে৷ ভুলটা ধরেছেন প্রফেসর সমীরণ কর্মকার৷
লাল রঙে দেখানো $(z\omega)$-টা হবে $(z-\omega).$
ভুলটা ধরেছেন বীরেশ্বর৷
মন্তব্য
নীচে একটা মন্তব্য দেওয়ার জায়গা রয়েছে. দেখে মনে হবে যেন তার জন্য আগে log
in করতে হবে. যদি তাতে আপত্তি থাকে, তবে ওই "Name"-এর জায়গায় একবার
click করলেই "I'd rather post as a guest" বলে একটা option আসবে.