এইটা আমার Multivariable Calculus বইয়ের ওয়েবপেজ৷ ভুলত্রুটি যা বেরোবে, এখানে তার
তালিকা থাকবে৷ বইয়ের যেখানে functional dependence-এর আলোচনা ছিল, সেখানে একটা
পেপারের কথা বলেছিলাম৷ সেটা এখান থেকে ডাউনলোড করতে পারো৷
এই পাতায় একরাশ ভুল করে ফেলেছি৷ আসলে $0$ আর $1$-এর মধ্যে গুলিয়ে ফেলেছিলাম লেখার সময়ে, ফলে
বিভিন্ন অংশের সামঞ্জস্য নষ্ট হয়ে গেছে৷
ভুলটা ধরেছেন প্রতাপ মণ্ডল৷ ৷
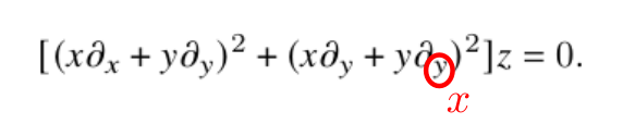
এখানে ওই লাল অংশগুলো ভুল করে বাদ দিয়ে ফেলেছিলাম৷
ভুলটা ধরেছেন অবন্তিকা রায় বর্মণ৷
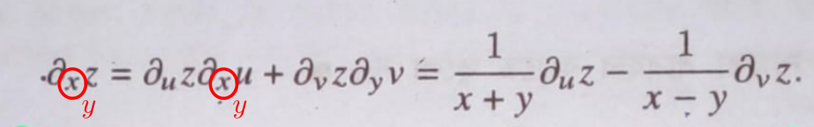
তৃতীয় অধ্যায়ের এই পাতায় আমি copy-paste করতে গিয়ে ভুল করে ফেলেছি৷ লাল রং দিয়ে ভুল এবং সংশোধন
দুইই দেখালাম৷ ভুলটা ধরেছেন অবন্তিকা রায় বর্মণ৷
তৃতীয় অধ্যায়ের সেই একই পাতায় আমি copy-paste করতে গিয়ে আবার ভুল করে ফেলেছি৷ লাল রং
দিয়ে ভুল এবং সংশোধন
দুইই দেখালাম৷ এ ভুলটাও ধরেছেন অবন্তিকা রায় বর্মণ৷
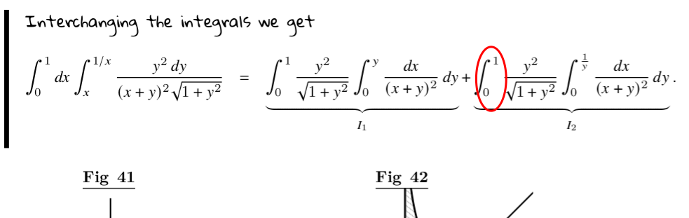
এখানে ওই লাল দিয়ে দেখানো
integral-টা $1$ থেকে $\infty$ পর্যন্ত হবে৷ ভুলটা পরের পাতাতেও
গড়িয়েছে৷ ভুলটা ধরেছেন জয়দীপ সেন৷
এটা আসলে 170 নম্বর পাতার Exercise 5-এর উত্তর৷ এখানে ওই লাল $x^2$-টার আগে একটা মাইনাস
বসবে৷
ভুলটা ধরেছেন অবন্তিকা রায় বর্মণ৷
এই পরীক্ষার অংকটা ভুল টুকেছিলাম৷ ভুল এবং সংশোধন লাল
দিয়ে দেখালাম৷
ভুলটা ধরেছেন অবন্তিকা রায় বর্মণ৷
এটা আসলে 241 নম্বর পাতার Exercise 2-এর উত্তর৷ ভুল এবং সংশোধন দুইই লাল
দিয়ে দেখিয়েছি৷
ভুলটা ধরেছেন অবন্তিকা রায় বর্মণ৷
পঞ্চম অধ্যায়ে 266 নম্বর পাতার Exercise 21-এর উত্তর হবে
(D). ভুল করে (B) লিখে ফেলেছি৷
ভুলটা ধরেছেন অবন্তিকা রায় বর্মণ৷
এখানে ওই লাল দিয়ে দেখানো
integral-টা হবে $\pi \int_{-1}^2 x^4\, dx.$ তাই উত্তরটা হবে $\frac{33\pi}{5}.$
ভুলটা ধরেছেন জয়দীপ সেন৷
সপ্তম অধ্যায়ের Exercise 9-এর দ্বিতীয় অংকটার উত্তর হবে $0.$ আমি ভুল
করে $2$ লিখে ফেলেছি৷ ভুলটা ধরেছেন শ্রী সরকার৷
নীচে একটা মন্তব্য দেওয়ার জায়গা রয়েছে. দেখে মনে হবে যেন তার জন্য আগে log
in করতে হবে. যদি তাতে আপত্তি থাকে, তবে ওই "Name"-এর জায়গায় একবার
click করলেই "I'd rather post as a guest" বলে একটা option আসবে.